北京师范大学出版科学研究院
 

您的当前位置: 首页 » 出版课堂
电机与电器类书稿加工中的编校问题分析
发布时间:2025-04-08

下面结合笔者最近加工的《电机与电器》的书稿,谈谈这类稿件常见的编校问题。



专业术语问题


下述箭头左侧为原稿表述,箭头右侧为参考改法。


1. 联接组标号→联组标号。依据GB/T 1094.1—2013《电力变压器 第1部分:总则》中的3.10.7项。

2. 连接方式→联结方式。依据GB/T 1094.1—2013《电力变压器 第1部分:总则》中的表述:

1.jpg

3. Y联结。术语无误,依据GB/T 1094.1—2013《电力变压器 第1部分:总则》中的表述:

2.jpg

这里用字母Y不是其他符号,以与D联结(三角形联结)的字母D对应。

4. 启动绕组→起动绕组。依据“术语在线”电气工程_电机。

5. 成型绕组→成形绕组。依据“术语在线”电气工程_电机。

6. 变流比。术语无误,依据“术语在线”电力_变电。不宜改为“电流比”,与之对应的还有“变压比”。在介绍电流互感器相关内容时,“变流比”“变压比”是规范用词。

7. 动断(动合)辅助触点/辅助动断(动合)触点→辅助动断(动合)触点。动断(动合)触点是固定名词,依据GB/T 2900.63—2003《电工术语 基础继电器》。

8.感应电动势、感生电动势含义一样吗?表述是否应统一?


答:感生电动势是感应电动势的一种,与动生电动势对应。表述不宜统一。

9.感应电势、感应电动势含义一样吗?表述是否应统一?


答:感应电动势和感应电势是一个意思,统一为感应电动势。


原稿表述“感应电势Ea”应改为“感应电动势Ea”,根据GB 3102.5—1993《电学和磁学的量和单位》中规定,电动势的文字符号为E,电势的文字符号为V。由文字符号也可判定,电势应改为电动势。

3.png

10.  结构形式→结构型式。

安装形式→安装型式。

依据GB/T 2900.25—2008《电工术语 旋转电机》:

4.jpg

11. 风扇罩→风罩。依据GB/T 2900.25—2008《电工术语  旋转电机》:

5.jpg

12. 触点系统→触头系统。依据GB/T 2900.18—1992《电工术语 低压电器》中的表述:

6.jpg

13.  使其与底座上的静触头(刀夹座)相契合(或分离)→使其与底座上的静触头(刀夹座)相楔合(或分离)。依据GB/T 2900.18—1992《电工术语 低压电器》中的表述:

7.png

14. 气/器的误用:

(1)控制电气→控制电器。

(2)电器元件→电气元件。

15. 绕线式异步电动机/绕线转子式异步电动机→绕线转子异步电动机。依据GB/T 4831—2016《旋转电机产品型号编制方法》。

16. 鼠笼式异步电动机→笼型异步电动机。这个词在电工学、电机等专业术语中没有规定,参考GB/T 2900.25—2008《电工术语 旋转电机》中的表述:

8.png

用的都是“笼型”,不用“笼形”和“鼠笼式”。

17. 笼型绕组/笼形绕组→笼型绕组(参考GB/T 2900.25—2008《电工术语 旋转电机》中411-37-26。“术语在线”中规范用词是“笼形绕组”,但是也有下述表述:

9.png

参考GB/T 2900.25—2008《电工术语 旋转电机》中的用法:

10.png

所以,书中可统一用“笼型绕组”。



图形符号问题


1. 隔离开关画法前后不一致

11.jpg
111.jpg
112.jpg

在电力电路的开关器件中QS表示隔离开关(依据GB/T 7159—1987《电气技术中的文字符号制订通则》,该标准虽已作废,但无对应的新标准代替,故暂可参照执行)。参考GB/T 4728.7—2022《电气简图用图形符号 第7部分:开关、控制和保护器件》中的表述:

12.png

原稿隔离开关的符号应统一为最后一幅的样式。


13.jpg

图中红圈部分一般画为三根短线,参考GB/T 4728.7—2022《电气简图用图形符号 第7部分:开关、控制和保护器件》中的表述:

14.jpg


2. 单结晶体管画法不规范。

15.jpg

依据GB/T 4728.5—2018《电气简图用图形符号 第5部分:半导体管和电子管》中的画法:

16.jpg


3. 画法有问题吗?

17.png


答:没问题。依据GB/T 14048.2—2020《低压开关设备和控制设备 第2部分:断路器》表13中的画法:

18.jpg

需要注意的是,这个符号在GB/T 4728系列标准中没有明确给出,在具体加工时不宜随意修改。


4.  电感线圈的画法前后图稿不一致。

19.png
113.jpg

参考GB/T 4728.4—2018《电气简图用图形符号 第4部分:基本无源元件》中的画法:

20.jpg

电感线圈应该用4个半圆。



相关标准在书稿加工中的应用


1. 关于三相异步电动机代号含义。

原稿表述如下:

21.jpg


这个加工的依据是GB/T 4831—2016《旋转电机产品型号编制方法》,参考其中的附录A加工上表。其中产品名称一列表述均不准确。


步电动机改为“三相异步电动机”;

绕线型异步电动机改为“绕线转子三相异步电动机”;

防爆型异步电动机改为“防爆型三相异步电动机”;

高起转矩异步电动机改为“三相异步电动机(高起动转矩)”。


2. 变压器联结组别的表示。

原稿表述如下:

22.jpg


其中加红框部分表述不妥,有的编辑改为I、I0和I、I6,这只是从文字层面上的修改。参考GB/T 1094.1—2013《电力变压器 第1部分:总则》中的表述:

23.png

第二个字母用小写且与第一个字母连写。


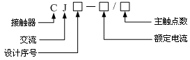
3. 交流接触器型号的表示。

原稿表述如下:

24.jpg


图中字母下应加横线后再用指示线引出,指示线不加箭头。参考GB/T 3430—1989《半导体集成电路型号命名方法》中的样式。


25.png


书稿中常常出现的问题是:前后样式不一致(有的型号说明下的字母下有横线,有的没有);型号说明中方框的粗细前后不一致。



其    他


三人行必有我师,作为编辑除了向权威出版物学习,还需要向作者学习。下面举几个和作者交流过程中的问题:


(1) 原稿“请根据交流电动机拆装步骤,对三相异步电动机进行拆装,并在装配后进行检测并填写表格。”标注部分表述不一致。


作者回复:

三相异步电动机就是交流电动机,文中可将交流电动机改为三相异步电动机。


(2) 原稿“用手转动出轴,转子转动是否灵活,无扫膛、无松动;轴承是否有杂声等。”标注部分表意不明。 


作者回复:

轴是一个部件,转动出轴就是把轴转动着抽出来。或者改为转动出转轴。


(3) 通断和分断的含义一样吗?表述是否应统一?

27.png


作者回复:

通断、分断含义不一样。通断是正常运行时的接通、断开。分断指的是故障时的断开。


(4) 触点、触头混用,该如何区分?


作者回复:

28.png


(5) 微型断路器外部采用热塑性好的绝缘材料模制外壳,有良好的机械、隔热和绝缘性能。其中“模制外壳”表述有问题吗?


作者回复:

没问题。“模制外壳”是指外壳的制造工艺为模制。


(6) “跑弧道”的表述有问题吗?


作者回复:

没问题。“跑弧道”是把弧光引入灭弧室的通道。


(7) “防止研伤”的表述有问题吗?


作者回复:

没问题。研伤:指表面出现划痕或沟槽。


(8) 变压器的同一相高、低压绕组都是绕在同一铁芯柱上,并被同一主磁通链绕,当主磁通交变时,在高、低压绕组中感应的电势之间存在一定的极性关系。其中“链绕”表述有问题吗?


作者回复:

没问题。“链绕”指变压器的一、二次绕组和同一个主磁通都具有磁的耦合。

注:本文图中正斜体未做调整,均为原稿图。


作者 | 绳超 中国铁道出版社有限公司

初审 | 夏国强

复审 | 邢自兴

终审 | 夏国强


北京师范大学出版科学研究院
友情链接: 国家新闻出版署  |   教育部  |   中国出版协会  |   北京师范大学  |   北京师范大学新闻传播学院  |   北京师范大学出版集团  |  
地址:北京市新街口外大街19号    版权所有©北京师范大学出版科学研究院